Heat Capacity Of Calorimeter Benzoic Acid . C 7 h 6 o 2. to measure the heat capacity of the calorimeter, we first burn a carefully weighed mass of a standard compound. bomb calorimeters require calibration to determine the heat capacity of the calorimeter and ensure accurate results. benzoic acid (c 6 h 5 co 2 h) is often used for this purpose because it is a crystalline solid that can be obtained in high purity. heat capacity of the calorimeter system can be determined, allowing for the calculation of the heat of combustion of a sample of known mass by the net. describe a simple calorimeter and explain how it is employed and how its heat capacity is determined. the value resulting from the burning of the calibration standard benzoic acid represents the heat capacity of the calorimeter (including the.
from byjus.com
bomb calorimeters require calibration to determine the heat capacity of the calorimeter and ensure accurate results. describe a simple calorimeter and explain how it is employed and how its heat capacity is determined. to measure the heat capacity of the calorimeter, we first burn a carefully weighed mass of a standard compound. the value resulting from the burning of the calibration standard benzoic acid represents the heat capacity of the calorimeter (including the. heat capacity of the calorimeter system can be determined, allowing for the calculation of the heat of combustion of a sample of known mass by the net. C 7 h 6 o 2. benzoic acid (c 6 h 5 co 2 h) is often used for this purpose because it is a crystalline solid that can be obtained in high purity.
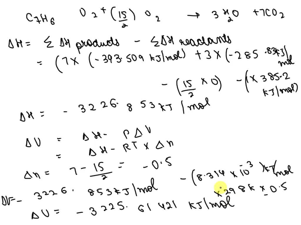
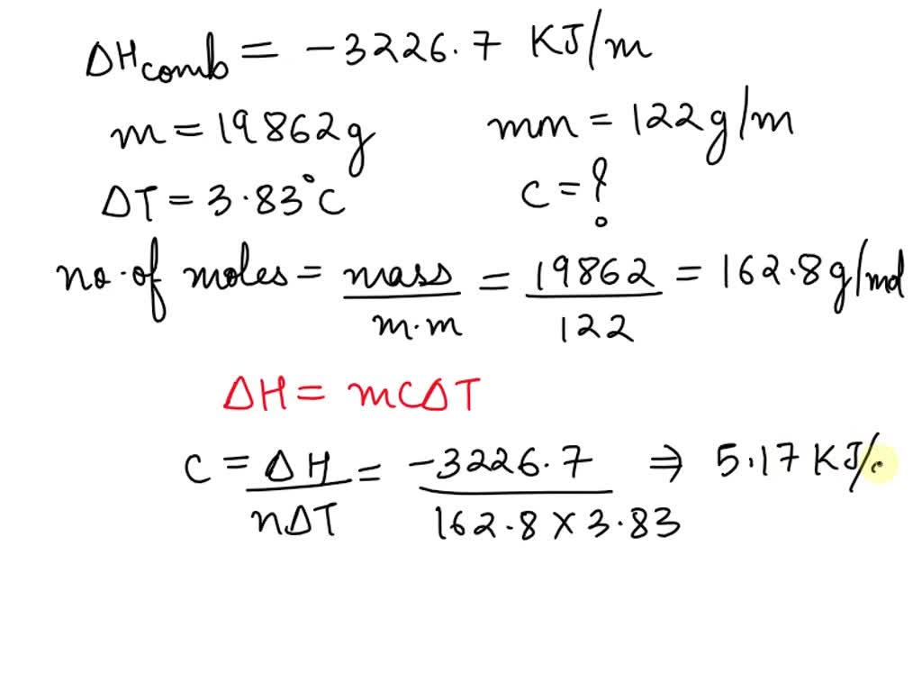
heat of combustion of benzoic acid at consant volume at 25^° c is
Heat Capacity Of Calorimeter Benzoic Acid heat capacity of the calorimeter system can be determined, allowing for the calculation of the heat of combustion of a sample of known mass by the net. C 7 h 6 o 2. to measure the heat capacity of the calorimeter, we first burn a carefully weighed mass of a standard compound. heat capacity of the calorimeter system can be determined, allowing for the calculation of the heat of combustion of a sample of known mass by the net. describe a simple calorimeter and explain how it is employed and how its heat capacity is determined. benzoic acid (c 6 h 5 co 2 h) is often used for this purpose because it is a crystalline solid that can be obtained in high purity. the value resulting from the burning of the calibration standard benzoic acid represents the heat capacity of the calorimeter (including the. bomb calorimeters require calibration to determine the heat capacity of the calorimeter and ensure accurate results.
From www.numerade.com
SOLVED Determine the final temperature in the bomb calorimeter if 2 Heat Capacity Of Calorimeter Benzoic Acid bomb calorimeters require calibration to determine the heat capacity of the calorimeter and ensure accurate results. C 7 h 6 o 2. benzoic acid (c 6 h 5 co 2 h) is often used for this purpose because it is a crystalline solid that can be obtained in high purity. to measure the heat capacity of the. Heat Capacity Of Calorimeter Benzoic Acid.
From www.toppr.com
47. Heat of combustion of benzoic acid (CH, COOH) constant volume 25°C Heat Capacity Of Calorimeter Benzoic Acid C 7 h 6 o 2. to measure the heat capacity of the calorimeter, we first burn a carefully weighed mass of a standard compound. heat capacity of the calorimeter system can be determined, allowing for the calculation of the heat of combustion of a sample of known mass by the net. bomb calorimeters require calibration to. Heat Capacity Of Calorimeter Benzoic Acid.
From www.numerade.com
SOLVED 12 please What is the heat capacity of the calorimeter? 4A.12 Heat Capacity Of Calorimeter Benzoic Acid bomb calorimeters require calibration to determine the heat capacity of the calorimeter and ensure accurate results. the value resulting from the burning of the calibration standard benzoic acid represents the heat capacity of the calorimeter (including the. describe a simple calorimeter and explain how it is employed and how its heat capacity is determined. heat capacity. Heat Capacity Of Calorimeter Benzoic Acid.
From www.numerade.com
SOLVED A bomb calorimeter has been used to determine the energy that Heat Capacity Of Calorimeter Benzoic Acid benzoic acid (c 6 h 5 co 2 h) is often used for this purpose because it is a crystalline solid that can be obtained in high purity. describe a simple calorimeter and explain how it is employed and how its heat capacity is determined. bomb calorimeters require calibration to determine the heat capacity of the calorimeter. Heat Capacity Of Calorimeter Benzoic Acid.
From www.numerade.com
SOLVEDHighpurity benzoic acid (C6HsCOOH AH,n for combustion 3227 Heat Capacity Of Calorimeter Benzoic Acid C 7 h 6 o 2. bomb calorimeters require calibration to determine the heat capacity of the calorimeter and ensure accurate results. to measure the heat capacity of the calorimeter, we first burn a carefully weighed mass of a standard compound. describe a simple calorimeter and explain how it is employed and how its heat capacity is. Heat Capacity Of Calorimeter Benzoic Acid.
From www.numerade.com
SOLVEDThe enthalpy of combustion of benzoic acid (C,HsCOOH) is Heat Capacity Of Calorimeter Benzoic Acid benzoic acid (c 6 h 5 co 2 h) is often used for this purpose because it is a crystalline solid that can be obtained in high purity. bomb calorimeters require calibration to determine the heat capacity of the calorimeter and ensure accurate results. to measure the heat capacity of the calorimeter, we first burn a carefully. Heat Capacity Of Calorimeter Benzoic Acid.
From www.numerade.com
SOLVED Consider an example determining reaction enthalpies using bomb Heat Capacity Of Calorimeter Benzoic Acid the value resulting from the burning of the calibration standard benzoic acid represents the heat capacity of the calorimeter (including the. bomb calorimeters require calibration to determine the heat capacity of the calorimeter and ensure accurate results. C 7 h 6 o 2. describe a simple calorimeter and explain how it is employed and how its heat. Heat Capacity Of Calorimeter Benzoic Acid.
From www.numerade.com
SOLVED Benzoic acid is used to determine the heat capacity of bomb Heat Capacity Of Calorimeter Benzoic Acid bomb calorimeters require calibration to determine the heat capacity of the calorimeter and ensure accurate results. the value resulting from the burning of the calibration standard benzoic acid represents the heat capacity of the calorimeter (including the. describe a simple calorimeter and explain how it is employed and how its heat capacity is determined. heat capacity. Heat Capacity Of Calorimeter Benzoic Acid.
From www.numerade.com
The combustion of exactly 1.000 g of benzoic acid in a bomb calorimeter Heat Capacity Of Calorimeter Benzoic Acid describe a simple calorimeter and explain how it is employed and how its heat capacity is determined. benzoic acid (c 6 h 5 co 2 h) is often used for this purpose because it is a crystalline solid that can be obtained in high purity. to measure the heat capacity of the calorimeter, we first burn a. Heat Capacity Of Calorimeter Benzoic Acid.
From www.toppr.com
Heat of combustion of benzoic acid (C6H5COOH) at constant volume at 25 Heat Capacity Of Calorimeter Benzoic Acid C 7 h 6 o 2. bomb calorimeters require calibration to determine the heat capacity of the calorimeter and ensure accurate results. to measure the heat capacity of the calorimeter, we first burn a carefully weighed mass of a standard compound. the value resulting from the burning of the calibration standard benzoic acid represents the heat capacity. Heat Capacity Of Calorimeter Benzoic Acid.
From www.numerade.com
SOLVED The standard enthalpy of combustion of benzoic acid (molar mass Heat Capacity Of Calorimeter Benzoic Acid bomb calorimeters require calibration to determine the heat capacity of the calorimeter and ensure accurate results. benzoic acid (c 6 h 5 co 2 h) is often used for this purpose because it is a crystalline solid that can be obtained in high purity. the value resulting from the burning of the calibration standard benzoic acid represents. Heat Capacity Of Calorimeter Benzoic Acid.
From www.numerade.com
SOLVED(a) When a 0.235g sample of benzoic acid is combusted in a bomb Heat Capacity Of Calorimeter Benzoic Acid bomb calorimeters require calibration to determine the heat capacity of the calorimeter and ensure accurate results. to measure the heat capacity of the calorimeter, we first burn a carefully weighed mass of a standard compound. heat capacity of the calorimeter system can be determined, allowing for the calculation of the heat of combustion of a sample of. Heat Capacity Of Calorimeter Benzoic Acid.
From www.numerade.com
SOLVED 5.1.35 g of solid benzoic acid is reacted with excess oxygen in Heat Capacity Of Calorimeter Benzoic Acid heat capacity of the calorimeter system can be determined, allowing for the calculation of the heat of combustion of a sample of known mass by the net. describe a simple calorimeter and explain how it is employed and how its heat capacity is determined. C 7 h 6 o 2. to measure the heat capacity of the. Heat Capacity Of Calorimeter Benzoic Acid.
From www.numerade.com
SOLVED ' Calculate the heat capacity of a calorimeter if the Heat Capacity Of Calorimeter Benzoic Acid describe a simple calorimeter and explain how it is employed and how its heat capacity is determined. C 7 h 6 o 2. benzoic acid (c 6 h 5 co 2 h) is often used for this purpose because it is a crystalline solid that can be obtained in high purity. heat capacity of the calorimeter system. Heat Capacity Of Calorimeter Benzoic Acid.
From www.numerade.com
SOLVED ' Calculate the heat capacity of a calorimeter if the Heat Capacity Of Calorimeter Benzoic Acid the value resulting from the burning of the calibration standard benzoic acid represents the heat capacity of the calorimeter (including the. C 7 h 6 o 2. describe a simple calorimeter and explain how it is employed and how its heat capacity is determined. to measure the heat capacity of the calorimeter, we first burn a carefully. Heat Capacity Of Calorimeter Benzoic Acid.
From www.toppr.com
0.50 g of benzoic acid was subjected to combustion in a bomb Heat Capacity Of Calorimeter Benzoic Acid heat capacity of the calorimeter system can be determined, allowing for the calculation of the heat of combustion of a sample of known mass by the net. the value resulting from the burning of the calibration standard benzoic acid represents the heat capacity of the calorimeter (including the. benzoic acid (c 6 h 5 co 2 h). Heat Capacity Of Calorimeter Benzoic Acid.
From scoop.eduncle.com
When 0.1025 g of benzoic acid was burnt in a bomb calorimeter the Heat Capacity Of Calorimeter Benzoic Acid describe a simple calorimeter and explain how it is employed and how its heat capacity is determined. benzoic acid (c 6 h 5 co 2 h) is often used for this purpose because it is a crystalline solid that can be obtained in high purity. bomb calorimeters require calibration to determine the heat capacity of the calorimeter. Heat Capacity Of Calorimeter Benzoic Acid.
From www.numerade.com
SOLVED Calorimeter may now be calculated assuming that the specific Heat Capacity Of Calorimeter Benzoic Acid to measure the heat capacity of the calorimeter, we first burn a carefully weighed mass of a standard compound. the value resulting from the burning of the calibration standard benzoic acid represents the heat capacity of the calorimeter (including the. C 7 h 6 o 2. describe a simple calorimeter and explain how it is employed and. Heat Capacity Of Calorimeter Benzoic Acid.